Land Rover Defender: Glass, Frames and Mechanisms - Diagnosis and Testing
DIAGNOSIS AND TESTING
PRINCIPLE OF OPERATION
For a detailed description of the glass, frames and mechanisms and operation,
refer to the relevant Description and
Operation section of the workshop manual. REFER to: Glass, Frames and Mechanisms
(Glass, Frames and
Mechanisms, Description and Operation).
INSPECTION AND VERIFICATION
CAUTION:
Diagnosis by substitution from a donor vehicle is NOT acceptable. Substitution
of control modules does not
guarantee confirmation of a fault and may also cause additional faults in the
vehicle being checked and/or
the donor vehicle.
NOTES:
- If the control module or a component is at fault and the vehicle
remains under manufacturer warranty,
refer to the warranty policy and procedures manual, or determine if any
prior approval program is in
operation, prior to the installation of a new module/component.
- When performing voltage or resistance tests, always use a digital
multimeter that has the resolution ability
to view 3 decimal places. For example, on the 2 volts range can measure 1 mV
or 2 kΩ range can
measure 1 Ω. When testing resistance always take the resistance of the
digital multimeter leads into
account.
- Check and rectify basic faults before beginning diagnostic routines
involving pinpoint tests.
- The window lift mechanism motor cannot be removed from the window
lift mechanism assembly, if an
issue with the window lift mechanism motor is diagnosed, replacement of the
complete window lift
mechanism assembly including motor will be required.
- Verify the customer concern
- Check the JLR claims submission system for open campaigns. Refer to the
corresponding bulletins and SSMs
which may be valid for the specific customer complaint and complete the
recommendations required.
- Visually inspect the moving glass system components for obvious signs of
mechanical/electrical damage and
system integrity.
Visual Inspection - Principal Moving Glass System Components
.png)
- If an obvious cause for an observed or reported concern is found,
correct the cause (if possible) before
proceeding to the next step.
- If the cause is not visually evident, verify the symptom and refer to
the symptom chart, alternatively check for
diagnostic trouble codes ( Diagnostic Trouble Code(s) (DTC)s) and refer to
the DTC Index.
POST REPAIR ACTIVITY
Door Window Motor Initialisation Procedure
It is critical that the Door Window Motor Initialisation Procedure REFER to:
Door Window Motor Initialization (501-11
Glass, Frames and Mechanisms, General Procedures). is completed to calibrate and
activate the one-touch and antitrap
functions correctly if, as part of the inspection, verification or repair
process, any of the following procedures have
been completed:
- Disconnection of the door module power supply (including vehicle battery
disconnection, fuse removal
/replacement, disconnection of and harness elements between the supply fuse
and the door module).
- Disconnection of harness elements between the door module and the window
lift mechanism motor(s).
- Removal, refitting or replacement of any of the following components:
- Window Lift Mechanism
- Window
- Glass Seals
- Glass Seal Channels
- Upper Frame Finisher
SYMPTOM CHART
.png)
.png)
.png)
.png)
.png)
.png)
.png)
.png)
.png)
.png)
.png)
.png)
.png)
.png)
.png)
.png)
.png)
PINPOINT TEST A : MOVING GLASS SYSTEM INOPERATIVE (MOTOR NOISE CANNOT BE
HEARD)
.png)
.png)
.png)
PINPOINT TEST B : MOVING GLASS SYSTEM INOPERATIVE (MOTOR NOISE IS HEARD)
.png)
.png)
.png)
.png)
PINPOINT TEST C : MOVING GLASS SYSTEM 'ONE-SHOT' FUNCTION INOPERATIVE
.png)
.png)
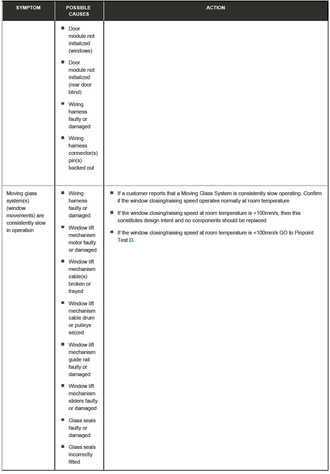
PINPOINT TEST D : MOVING GLASS SYSTEM(S) (WINDOW MOVEMENTS) ARE
CONSISTENTLY SLOW OPERATING
.png)
.png)
.png)
PINPOINT TEST E : MOVING GLASS SYSTEM (WINDOW MOVEMENT) CONSISTENTLY ONLY
PARTIALLY MOVES
.png)
.png)
.png)
PINPOINT TEST F : MOVING GLASS SYSTEM INCONSISTENTLY ONLY PARTIALLY MOVES
.png)
.png)
.png)
.png)
PINPOINT TEST G : MOVING GLASS SYSTEM OVERLY FLEXIBLE (WINDOW STABILITY)
WHEN GLASS UP (WINDOWS ARE CLOSED)
.png)
.png)
.png)
.png)
PINPOINT TEST H : MOVING GLASS SYSTEM OVERLY FLEXIBLE (WINDOW STABILITY)
WHEN GLASS DOWN (WINDOWS ARE OPEN)
.png)
.png)
.png)
PINPOINT TEST I : WIND NOISE BETWEEN VERTICAL PORTIONS OF GLASS SEALS AND
MOVING GLASS (WINDOW)
.png)
.png)
.png)
PINPOINT TEST J : WIND NOISE BETWEEN UPPER PORTION OF GLASS SEAL AND
MOVING GLASS (WINDOW)
.png)
.png)
.png)
PINPOINT TEST K : MOVING GLASS SYSTEM NOISY DURING OPERATION
.png)
.png)
.png)
.png)
PINPOINT TEST L : MOVING GLASS SYSTEM NOISY DURING DOOR CLOSE
.png)
.png)
.png)
.png)
PINPOINT TEST M : MOVING GLASS SYSTEM HAS NUISANCE BOUNCE BACK
.png)
.png)
.png)
PINPOINT TEST N : MOVING GLASS SYSTEM MOVES IN STEPS DURING OPERATION
.png)
.png)
READ NEXT:
DIAGNOSIS AND TESTING
PRINCIPLES OF OPERATION
For a detailed description of the Glass, Frames and Mechanisms, refer to the
relevant Description and Operation
section in the workshop manual. REFER to:
DIAGNOSIS AND TESTING
PRINCIPLES OF OPERATION
For a detailed description of the Glass, Frames and Mechanisms, refer to the
relevant Description and Operation
section in the workshop manual.
INSPECTIO
GENERAL PROCEDURES
NOTES:
Make sure that the vehicle battery is fully charged before carrying
out this procedure.
After the battery has been disconnected or a new window regulator and
motor or
SEE MORE:
DESCRIPTION AND OPERATION
COMPONENT LOCATION
COMPONENT LOCATION - 1 OF 2
Cruise Control Module (CCM)
Integrated Power Brake
Accelerator Pedal Position (APP)
Steering Angle Sensor Control Module (SASM)
Restraints Control Module (RCM)
Rear wheel speed sensors (quantity 2)
Front wheel speed se
Avoid all prolonged and repeated contact with mineral oils. All lubricants
and greases may be irritating to the eyes and
skin.
USED ENGINE OIL
Prolonged and repeated contact with engine oil will result in the removal of
natural fats from the skin, leading to
dryness, irritation and dermatitis. In
© 2010-2026 Copyright www.lrdefender.org
